Kisboldogasszony
perkáta
Istent szeretni & az életet szeretni
Alapítvány
A kápolna
Back
Megszépültek
az Irgalmas nővérek sírjai
A templom
Az alapítvány
Back
Alapító okirat
Az alapítvány célja
Képtár
Back
Templom
Templom
Templom
Templom
Templom
2016 október - Bérmálás
2017 - Pünkösd
Adományozás
2022 Képviselő testület eskütétel és tanévzáró
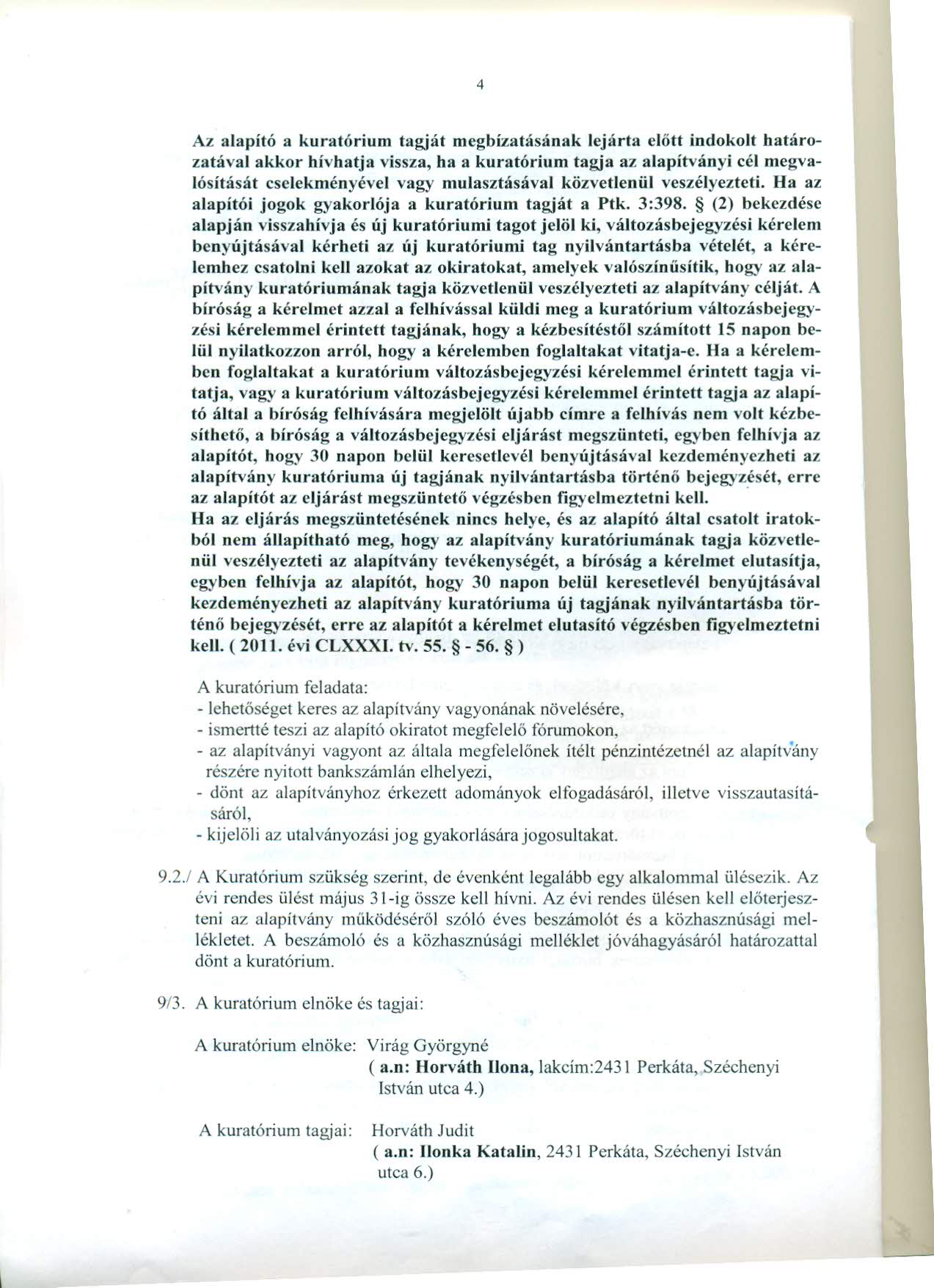
Alapító okirat - 4. oldal
Tartalomjegyzék
Alapító okirat
2. oldal
3. oldal
4. oldal
5. oldal
6. oldal
7. oldal
8. oldal
9. oldal
10. oldal
Minden oldal
4. oldal / 10
Előző
Tovább